
Muita ação com direito a uma instrução de tiro no final.
Ah! A moça e o rapaz estão juntos outra vez em La La Land.
O filme "Caça aos Gangsteres" (Gangster Squad, 2013) narra a luta subterrânea de um grupo de agentes da lei liderados por John O'Mara contra o mafioso de Mickey Cohen, na Los Angeles de 1949. No tiroteio embate final entre os dois lados, um policial veterano "clica" um novato a errar todos os tiros:
"Não atire onde ele está, mas onde ele vai estar!!"
Isso é uma coisa simples, embora não signifique que seja fácil: acompanhar a direção do movimento atual (será que ele vai fazer uma curva?), estimar a posição futura (será que vai pular para pegar um atalho?) e ainda prevenir a "gatilhada" pode ser tudo menos fácil. Bons atiradores, por sorte deles, podem se valer da "Física intuitiva" disponível aos seres humanos desde o seu nascimento (1), i.e., a capacidade de acompanharmos o modo como objetos caem, ricocheteiam e vergam. Em linhas gerais, inconscientemente tratamos objetos em movimento livre como se estivessem munidos de um "vigor" que, aos poucos, é gasto até eles pararem. Não é a Física aristotélica, nem a newtoniana, mas algo similar ao antigo ímpeto medieval.
Dessa intuição se valeram nossos ancestrais em seus arremessos de pedras, lanças, dardos e flechas; o que bastou por um bom tempo. Entretanto, conforme se sofisticava a sociedade, surgiu inevitavelmente a questão de dar rigor ao que antes bastava o "instinto". Então, que ferramentas deveriam usar nessa tarefa? O mundo antigo nos oferecia retas, a serem traçadas com o auxílio de régua e compasso. Em se tratamento de movimentos uniformes de aceleração constante, é trivial calcular a área de retângulos e triângulos. E quando sua velocidade apresentasse um comportamento não-linear? Uma tática, como apresentada na primeira parte da trajetória no vácuo, é dividir o intervalo de tempo em pequenos em busca de uma propriedade surja ao reuni-los outra vez.
E, na Grécia antiga, houve alguém que fez isso maestria.
[índice]
Arquimedes (287–212 a.C.) foi um físico, matemático e inventor nascido na colonia grega de Siracusa, na atual ilha da Sicília, Itália. Estudou em Alexandria, que, à época, era um centro cultural e científico grego situado no Egito dos Ptolomeus. De volta à terra natal, continuou a se corresponder com a elite intelectual alexandrina, bem como interagiu junto à intelectualidade local. Como pessoa pública, a biografia de Arquimedes está cercada de anedotas e possíveis mitos. Uma das mais famosas seria a descoberta do Princípio de Arquimedes da flutuação dos corpos.
Conta o arquiteto romano Marcos Virtúrio (I séc. E.C., em De Architectura, livro) que teria Hierão II, o tirano de Siracusa da ocasião, fornecido uma quantidade de ouro a um ourives para a fabricação de uma coroa. Feito o serviço, o rei começou a suspeitar que fora logrado e a joia conteria alguma quantidade de prata em sua composição. Arquimedes foi, então, incumbido com a tarefa de verificar a fraude, porém havia um detalhe: a coroa deveria permanecer intacta. À época, já se sabia das diferenças de densidade entre materiais, residindo o problema em como medir o volume de um corpo tão irregular. Matutando como poderia dar uma solução enquanto relaxava em um banho público, Arquimedes percebeu que, ao mergulhar na banheira, certa quantidade de água extravasava afora. Assim, o volume do seu corpo que adentrou n'água correspondia ao dela que saiu. Teria ele ficado tão empolgado, que correu nu pelas ruas cidade gritando Eureka! Eureka! ("Achei! Achei"). Bastaria, então, comparar a quantidade água entornada pela coroa ao ser mergulhada no recipiente bem cheio com aquela vertida por uma barra de ouro com a mesma massa do material fornecida ao ourives. Repetindo o experimento com uma barra de prata, Arquimedes teria conseguido calcular, inclusive, a proporção desse metal na coroa.

Enquanto analisas o traseiro de Arquimedes, teu chefe está bem atrás de ti.
Embora essa seja, digamos, um primeiro passo para a elaboração da lei física que leva seu nome:
A força vertical de empuxo que é exercida sobre um corpo imerso em um fluido, seja ele total ou parcialmente submerso, é igual ao peso do fluido que o corpo desloca.
... é improvável que essa anedota tenha ocorrido da maneira como descrita. E não é nem pela nudez de um gênio "empolgado" por um insight, mas pela falta de precisão da instrumentação da época para ser realizado esse experimento, já que a difereça entre os volumes de água seria muito pequena. O mais provável, caso ela tenha ocorrido, é a coroa ter sido equilibrada em uma balança com uma massa correspondente de ouro e ambos os lados submersos juntos. Em caso de fraude, a balança desequilibraria para o lado do ouro puro, que é mais denso que um liga de ouro/prata.
Outros feitos de Arquimedes também estão envoltos pelo véu de lenda. Plutarco, historiador grego do primeiro século E.C., descreve na obra Marcelo as campanhas desse general romano na Segunda Guerra Púnica, entre elas o cerco de Siracusa, que se aliara a Cartago após a morte de Hierão. Plutarco relata que Arquimedes teve grande participação na defesa da cidade por meio da construção engenhos que horrorizaram os romanos. Alguns bem plausíveis, como sistemas de catapultas de diversos tamanhos, capaz de acertar navios a variadas distâncias simultaneamente; outros curiosos como a "mão de ferro": uma enorme alavanca com uma garra numa das pontas, que apanharia pela proa e reviraria os navios que, porventura, conseguissem se aproximar o suficiente da muralha. Um engenho de guerra, porém, até hoje tem sua construção implausível: um conjunto de espelhos que seria capaz de focalizar a luz do Sol sobre as velas dos navios romanos, incendiando-as. Cogitou-se espelhos côncavos/parabólicos, mas teriam uma distância focal muito curta para que conseguissem o feito a uma distância segura. Um conjunto de espelhos planos, por sua vez, demandaria uma quantidade grande deles, além uma boa insolação.
O que nos traz particular interesse em Arquimedes é o fato de dele ter sido um dos primeiros a encarar a encarar o "infinito" sem medo. Seja o infinitamente grande, quanto o infinitamente pequeno.
[índice]Muitos dos leitores já devem conhecem a figura abaixo utilizada para provar porque a área de um círculo é πr², por meio de sua aproximação progressiva com um retângulo

Fonte: Wikimedia Commons.
Em que a letra grega π (2) representa a razão entre o comprimento do círculo e seu diâmetro. Desde a Antiguidade, povos antigos já identificavam que seu valor era dessa ordem: os antigos hebreus tinham essa razão como sendo três exatamente, os egípcios propunham o valor de 3,1605 aproximadamente (3).

Em vez de aproximações empíricas, Arquimedes aplicou a geometria para obter rigor na mensuração de π. Descrevendo, seu método em "A Medição do Círculo", ele traçou de um hexágono regular circunscrito numa circunferência, calculou a razão entre o perímetro desse polígono e o raio da circunferência, lembrando que o lado do hexágono regular mede o mesmo do raio circunferência que lhe é circunscrita. Em seguida, ele dobrou a quantidade de lados, i.e., passou para um dodecágono. A escolha de hexágono como ponto de partida não é foi casual: o ângulo entre dois apótemas é 30º, cujas funções trigonométricas conhecidas por geometria simples (4). Para encontrar a tangente de um ângulo de 15º, com a qual se pode calcular o lado de um dodecágono (o outro cateto é raio da circunferência), pode-se utilizar, dentre diversas, a fórmula abaixo:

O processo foi repetido até se atingir um polígono regular de 96 lados. Nota-se que o perímetro de cada polígono fica progressivamente mais próximo ao da circunferência, embora sempre um pouco maior.

Em seguida, ele refez o processo de forma similar, porém partindo de um hexágono inscrito, cujo lado medo o mesmo do raio da circunferência, e dobrando a quantidade de lados até 96, o que modernamente é obtido pela aplicação da seguinte fórmula a cada etapa (5):

Nota-se que o perímetro de cada polígono fica mais próximo ao da circunferência conforme o número de lados aumenta, porém, dessa vez, sempre um pouco menor.

Polígonos inscrito de seis, doze e vinte e quatro lados.
Como resultado dessa investigação, Arquimedes concluiu que a razão do comprimento da circunferência e o seu diâmetro é algum valor entre 3 10/77 e 3 1/7, o que fornece π ≈ 3,14. Posteriormente, o matemático e astrônomo egípcio Ptolomeu (II séc. E.C) refinaria esse valor para 3,1416.
Outro exemplo da habilidade de Arquimedes em lidar com curvas foi seu cálculo da área do segmento de parábola, que pode ser enunciado da seguinte forma:
A área da região limitada por uma parábola e uma corda corresponde a 4/3 da área do triângulo inscrito sobre a corda e de mesma altura da parábola
Em sua demonstração, ele utilizou recursos puramente geométricos. Aqui, para fins didáticos, será feita uma adaptação a se valer de recursos de geometria analítica, criados mais de dezoito séculos depois, bem como adoção de uma parábola simétrica em relação ao eixo das ordenadas.
Seja o segmento de parábola definido pela função y = x2+ a2 e pela corda entre os pontos {-a, 0} e {a, 0}, como na figura abaixo:

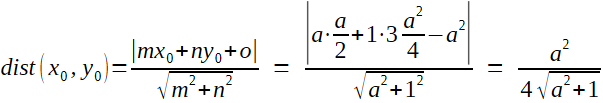
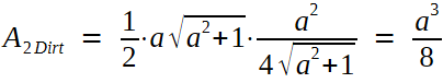
A estratégia consiste em aproximar a área da parábola por meio da inscrição de conjuntos de triângulos cada vez menores. O primeiro deles é o triângulo em verde, cuja base é o segmento [-a, a] e a altura h1 mede a². Sua área, portanto, vale (base x altura)/2 = (2a x a²)/2 = a³. Para a próxima etapa, comecemos pelo triângulo azul à direita, cuja base é um dos lados do triângulo original, de comprimento a√a² + 1, e a abscissa de seu vértice está a meio caminho das que estão nos pontos da base, no caso o ponto {a/2, 3a²/4}. Considerando que a base desse novo triângulo está sobre reta ax + y - a²= 0, para achar a sua altura h2 basta calcular a distância de seu vértice para tal reta (6):

Como resultado, a área do triângulo azul à direita será:

O que totaliza, por simetria, A2 = a²/4 como a área total em azul. De forma análoga, para achar a área os triângulos da próxima séria, substitui-se a por a/2, resultando numa área para cada triângulo vermelho de a²/64. Como o total deles dobra, a área A3 em vermelho vale 4×a²/64 =a²/16. A área total dos polígonos inscritos seria, então, o seguinte somatório:

Modernamente, isso corresponde ao somatório infinito dos termos de uma progressão geométrica de razão menor que a unidade, facilmente resolvível aplicando-se um limite. Entretanto, esse conceito não estava disponível para a Arquimedes, que se utilizou de engenhoso artifício geométrico.

Demonstração feita por Arquimedes de que 1/4 + 1/16 + 1/64 + ... equivale a 1/3 (Fonte: Wiki Commons).
Partindo de um quadrado de área unitária, é feita uma subdivisão recursiva dele em quatro menores indefinidamente. A sequência de quadrados em roxo ilustra o somatório desejado e, como cada quadrado em roxo é ladeado por dois amarelos que lhe são idênticos, essa sequência ocupa um terço da área do quadrado maior. Assim, a área do segmento de parábola corresponde a 1 + 1/3 = 4/3 da área do triângulo cuja base é a corda do segmento e altura é a mesma da parábola.
* * *
Tanto o cálculo de π quanto a quadratura do segmento de parábola são exemplos do que viria posteriormente a ser conhecido como "Método da Exaustão", cujas origens remontam a Eudóxio de Cnido (ca. 408 – 355 A.E.C.) e foi empregado por Euclides e Arquimedes para o cálculo de áreas e volumes de contornos complexos (i.e., curvos). Sua aplicação consiste no uso do princípio do maior e do menor, em que uma área (ou volume) é aproximada(o) internamente por polígonos (ou sólidos) fáceis de calcular e o mesmo procedimento é repetido por polígonos (ou sólidos) que envolvem externamente a área (ou volume) em questão. Conforme a quantidade deles aumenta, a sequência interna se aproxima de um certo valor limítrofe, estando sempre abaixo dele, ao passo que a externa sempre está um pouco acima dele. Quando a diferença entre essas aproximações se torna arbitrariamente pequena, diz-se a figura a medir foi "exaurida". No caso do círculo, o valor da razão entre seu comprimento e diâmetro ficou dentro de uma faixa; para o segmento de parábola, obteve-se um valor exato, até porque Arquimedes já sabia de antemão o resultado esperado e conseguiu delimitá-lo por "redução ao absurdo" (7).
O Método da Exaustão se constitui, assim, e um equivalente geométrico da "Soma de Reimann" (a ser vista mais adiante), sendo uma ferramenta precursora do Cálculo Integral, em que um problema é dividido em pequenas partes, que serão em seguida calculadas e reagrupadas (somadas) para se obter o valor total. Entretanto, os resultados engenhosos da matemática grega continuaram sendo vistos como soluções de aplicáveis a problemas específicos. Faltava uma ferramenta mais poderosa e genérica.

(1) Cf. [Pinker], cap. XIII, pp. 308-9. voltar
(2) O uso da letra grega π como a razão entre o perímetro de um círculo e seu diâmetro é mais recente e foi grandemente popularizado pelo matemático suíço Leonhard Euler (1707-1783), especialmente pelo emprego dessa constante em expressões que a relacionam com funções exponenciais. Uma das mais famosas é a que ele apresenta em sua obra Introdução (1748):

Uma bela expressão, quer reúne as principais constantes matemáticas. voltar
(3) Na Bíblia, em I Re 7:23, lê-se na versão de Almeida Fiel e Corrigida: "Fez mais o mar de fundição, de dez côvados de uma borda até à outra borda, perfeitamente redondo, e de cinco côvados de alto; e um cordão de trinta côvados o cingia em redor. ", o que dá 30/10 =3. O papiro Rhindi, datado em cerca de 16 séculos antes da Era Comum, traz uma série de problemas matemáticos de ordem prática. Em um deles, para o cálculo do volume de um celeiro cilíndrico, identifica-se que a área da base circular é calculada por (8/9)²d² = (256/81)r², em que d é o diâmetro, r o raio e π é dado por 256/81 ≈ 3,1605. voltar
Os ângulos de 30º, 45º e 60º são chamados de "ângulos notáveis" por suas funções trigonométricas serem facilmente dedutíveis usando-se o teorema de Pitágoras e as propriedade dos triângulos equilátero e isósceles retângulo. Os valores trigonométricos para os demais ângulos eram calculados (e em seguida tabulados), a partir desses valores fundamentais, por meio de fórmulas de soma ou subtração trigonométricas (Cf. [Iezzi, vol 3, cap. IX]), como estas abaixo:
A partir do século XVIII, com o progresso das técnicas do Cálculo Diferencial e Integral, as funções trigonométricas passam a ser calculadas por meio de "Séries de Taylor", que fornecem aproximações polinomiais para elas. Por exemplo:
Arquimedes também não dispunha de um sistema de notação numérica de posição, muito menos para casas decimais. Suas contas se valem de aproximações por meio de frações de números inteiros. voltar
(5) Cf. [Dolce & Pompeo, cap. XVI, pp. 281-2] para a dedução da fórmula para a obtenção do lado de um polígono regular de 2n lados inscrito em um círculo de raio r, a partir do lado de um polígono de n lados. voltar
(6) Cf. [Iezzi, vol. 7, cap. IV, pp. 91-3] para a dedução da fórmula da distância entre um ponto e uma reta, em duas dimentsões. voltar
(7) Na verdade, antes de sua demonstração geométrica, Arquimedes realizara uma demonstração "mecânica" na qual ele "equilibra" um segmento de parábola e um triângulo suspensos por seus respectivos centros de gravidade, por meio de uma alavanca teórica, chegando à proporção entre a parábola e o triângulo se atingir o equilíbrio [Cf. Silva]. A demonstração geométrica se segue para atender ao gosto da matemática grega por régua (não graduada) e compasso. O toque final de Arquimedes - a redução ao absurdo (ou "por contradição") - consiste em levantar um hipótese e analisar suas consequências. Caso algo disparatado (absurdo) com alguma proposição já consolidada surja, então a hipótese é falsa, logo sua negação é verdadeira.
Arquimedes supõe que a área do segmento ultrapassa mais de 4/3 da correspondente ao primeiro triângulo inscrito. Se assim for, será possível adicionar triângulos inscritos até que se a ultrapasse, o que é impossível pelo fato de sempre estarem contidos na parábola. Por outro lado, caso se suponha que a área do segmento seja menor que 4/3 do primeiro triângulo inscrito, então a sequência de triângulos ultrapassará, em determinada parcela, o tamanho do segmento, o que é impossível. Portanto, a área do segmento parabólico deve ser exatamente 4/3 a do primeiro triângulo inscrito. voltar
- Arquimedes,
Measurement of a Circle, extrato correspondente ao cálculo de π acessado em 17/01/2026.
- Arquimedes & Heath, Thomas Little; The Works of Archimedes, Cambridge Univesity Press, 1897, acessado de
Internet Archive em 17/01/2026.
- Calçada, Caio Sérgio & Sampaio, José Luiz; Física Clássica - Cinemática, 1994.
- Dugas, René; A History of Mechanics, tradução inglesa de M.R. Maddox, Routledge & Kegan Paul LTD., Inglaterra, 1957.
- Dolce, Osvaldo && Pompeo, José Nicolau; Fundamentos de Matemática Elementar, Vol. 9 - Geometria Plana, Atual Editora, 7ª Ed, 2001.
- Iezzi, Gelson; Fundamentos de Matemática Elementar, Vol. 3 - Trigonometria, Atual Editora, 9ª Ed, 2013.
________________; Fundamentos de Matemática Elementar, Vol. 7 - Geometria Analítica, Atual Editora, 6ª Ed, 2013.
- Napolitani, Pier Daniele; Arquimedes - Pioneiro da Matemática, Scientific American Brasil: Gênios da Ciência, nº 7, Duetto, 2005.
- Pinker, Steven; Tábula Rasa, Companhia das Letras, 2004.
- Silva, Maria Deusa Ferreira; Um Método de Arquimedes para a Quadratura da Parábola, Revista de Matemática, Ensino e Cultura (REMATEC), ano 3, nº 4, fevereiro de 2008.
- Vitrac, Bernard; Arquimedes, A Ciência na Antiguidade, Scientific American Brasil: Especial História, nº 3, pp. 70-9, Duetto, 2005.